LCVCO设计
LCVCO设计基本原理与指标仿真

基本原理
能量存储电路为负跨导,提供能量;LC并联谐振,输出能量,产生正弦波。负跨导的大小决定了能否起振。从起振到稳定,MOS管跨导逐渐减小,一开始振荡,到负阻最终与并联电阻Rp相等,达到稳定状态。
特征指标
相位噪声
(1)定义:频率w0±Δw处的功率/载波频率w0处的功率
(2)

来源一: NMOS管工作时,随着信号摆幅增大,VGS存在小于Vth的情况,因此Ids为开关特性,频域为离散单位脉冲调制函数。与MOS管漏源噪声卷积后,将二次谐波附近噪声搬移至谐振频率附近。
优化方法:加入二次谐波滤波器,减小二次谐波;差分架构,两个NMOS管尽可能匹配,提高共模抑制比。
来源二:MOS管寄生电容因电压变化产生的周期性噪声,为离散噪声相位脉冲传递函数,与连续低频噪声卷积,将其搬移至谐振频率附近。
优化方法:该周期性噪声信号与振荡信号相位差90°,在振荡信号幅度最大值时注入,如colpitts振荡器。
谐振幅度
单边输出电压幅度为,差分输出乘以2。

可以根据VDD-Vth=2IR/pi,计算出最优直流偏置I,并由此得到MOS管尺寸。
谐振频率
(1)取决于RLCtank,w0=1/√LC。项目中调谐频率范围采用可调电容实现。根据调谐频率范围可基本确定L、C大小。
(2)C采用变容管的原因:实现电压V控制频率Fo变化;变容管C与结电压V成反比,与Fo成反比,电压V与Fo成正比。
稳定时间
压控增益Kv & Kpush
压控增益:
(1)定义:调谐频率随单位调谐电容变化的大小,衡量振荡器对电容变化的敏感度。可通过频率对调谐电压求导得到。

由公式可以看到,Kv并非稳定的,而是随谐振频率变化。
(2)优化方法:为了维持Kv的稳定,C采用带开关的变容器。谐振频率大时,开关接VDD,电容两端电压相同,减小有效电容C。

Kpush:电源电压变化引起的频率偏移,单位Hz/V
仿真验证
原理图(理想电容电感,无变容器)

起振条件
(1)确认谐振频率,Fo=10GHz
(2)确认初始电感值L、电容值C
L=0.5nH,根据w0=1/√LC=10GHz,可得C=507fF。并联R=100ohm,作为等效寄生电阻,SP仿真LC tank谐振点,谐振在10GHz,输入等效电阻为100ohm。


(3)NMOS交叉耦合的等效负阻为 -2/gm ,根据起振条件判断,需要-2/gm>R,即|2⁄gm|<R,R为LC tank等效并联电阻。此处R=100ohm,所以gm>20ms。

通过下式,由gm可得电流ID大小,并得到MOS管尺寸

Vth=0.355V,VGS=0.8V,ID大小约为4.5mA。
起振方法
(1)在输出节点加上初始电压差



谐振频率9.57GHz,略小于10GHz,预计是MOS管寄生电容带来的影响。输出电压Vpp=1.68V>2VDD=1.6V,单边输出电压Vpp=0.836V,范围0.384~1.22V。Vth为0.35V左右,所以未进入电流限制区。
最优偏置电流选择在电流限制区与电压限制区临界处,此时MOS管不会在摆幅最大时处于线性区,FOM也是最优点。


根据最优偏置电流大小与VDD,可得单端最优偏置电流为7mA。最终选择的管子跨导为26ms,ID为7.35mA。
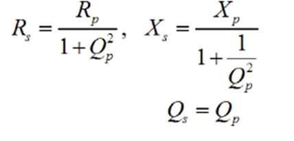
非理想LC tank

(1)a.非理想LC并联等效如下图所示

串并联电感电阻等效关系推导如下

电感L和电容C自身Q值为

可得Rp

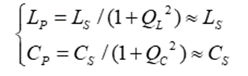
等效Lp和Cp为

L值越大,其功耗也越大,相位噪声越好,可调范围越小;C的值越大,相位噪声越小,功耗也越小。(待验证)

b.LC tank的最优Q值,仿真后面给出,与理论结果符合

(2)变容管
在VCO中,需要需要通过电压控制输出不同的振荡频率,输出频率对对控制电压求导即得到压控增益Kvco,即对输出频率对电压的灵敏度。假设Kvco等于100MHz/V
Cvar和Qvar随电压变化如下图所示

两端最大压差为±0.8V,此时对应的电容值和Q值分别为14.2f/101和1.4f/148.9k。变化范围约13f,谐振频率偏移范围约±0.5GHz,占比约5%。
(3)开关电容阵列、非理想电感
a.取值。
频率调谐范围通常为20%,对于10GHz,假设调谐范围为9.5GHz~12GHz,则开关电容阵列范围也可通过下式求得,为

b.电感提参
调用库中电感,等效并联电阻为478ohm,Q值为15,L为508pH,与PDK模型基本一致。

c.电容提参
调用库中cfmom_2t电容,无法提参在10GHz处的Q值与Rp,C值为510fF。

更换为cfmom_wo_rf电容,C和Q结果如下,C为516fF,Q为103>15,所以Rp约等于电感的等效并联电阻即478ohm

d.LCtank的最优Q值
LC tank的Q值随着频率的增大,先增大后减小,当频率较低时,由电感的Q值主导。

e.起振仿真
由于Q_C>>Q_L,所以Rp≈478ohm,根据之前推导,最优跨导gm为6.6mS,起振要求最低gm为4.2mS,约是1.5倍。此时的最优偏置电流为1.5mA,
优化尺寸前,如下图所示,单边Vpp为1.72V,波形出现失真。


优化尺寸后,gm=6.6mS,ID=1.8mA,如下图所示,Vpp为1V,2次谐波含量降低,对于相噪的影响将在后面给出。


相位噪声
仿真设置hb,hbnoise


优化尺寸前后对比,粉色为优化前,红色为优化后,10k、100k、1MHz处相噪均得到改善。

将MOS管并联数设为变量M,M的改变影响跨导与电流值,进而改变相噪。设置输出变量为单边电压幅度和相噪,得到如下图所示

幅度

MOS管尺寸受到限制,当M=1时,无法谐振;当M过大,即电流过大时,电压摆幅饱和,MOS管进入线性区,输出阻抗降低,LC tank Q值降低,相噪恶化。
加入变容管后的相噪变化,如下图所示,当偏置频率较小时,相噪受闪烁噪声影响较大,而变容管产生的AM-FM的转化,将低频的闪烁噪声搬移到载波频率。



优化方法:可以通过增大MOS电容的W*L减少闪烁噪声;或是减少LC tank中的非线性电容,改用线性的开关电容,即减小KAM-FM=dw/dA。
压控增益Kv
仿真原理图

Kvco如下图所示,0.6V的vtune为中心,是因为在此处Cvar的变化速率最快。

如下图所示,增加变容管阵列数后,因为随电容变化速率更快,Kvco增大

将一组变容管Kvbias设为VDD,如下图所示,Kvco在vtune两端的翘起减小

相噪优化拓扑-尾电感、电容
相噪优化拓扑-尾电感、电容二次滤波结构分析与仿真请至https://vonrobert.com/2025/01/27/LCVCO设计-尾电感电容二次滤波/index.html
引用
[1] Behzad Razavi. Design of CMOS phase-locked loops from circuit level to architecture level.
[2] 张刚. CMOS集成锁相环电路设计.

